您好,欢迎访问这里是您的莱诺高压风机官网!
2HB 510 H36 2.2Kw
2HB 510 H36 2.2Kw
2HB 510 H36 2.2Kw
2HB 510 H36 2.2Kw
2HB 510 H36 2.2Kw
2HB 510 H36 2.2Kw
2HB 510 H36 2.2Kw
2HB 510 H36 2.2Kw
2HB 510 H36 2.2Kw
2HB 510 H36 2.2Kw

2HB 510 H36 2.2Kw

超低真空,超低静音,体积轻巧,外形美观,结构简单,维修容易,完全无油气,更易保养。

额定电压:

电机功率:

最大流量:

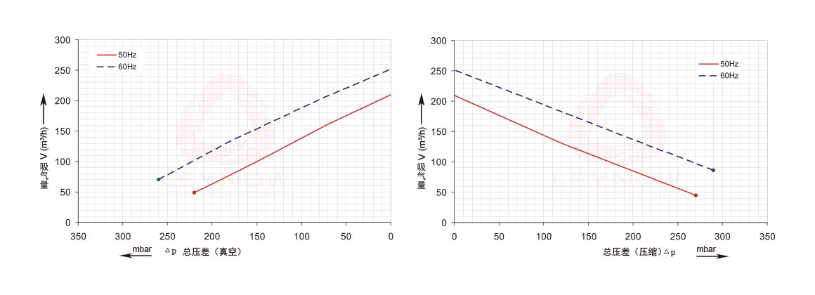
最大吹力:290mbar

最大吸力:-260mbar

电机转数:2800r/min

额定电流:9.7△/5.6Y

噪声等级:64dB

产品重量:25Kg

产品曲线
莱诺高压风机曲线表
产品参数

安装尺寸
莱诺风机尺寸图
相关标签:
相关产品